Elektrická energie FVE 10.06.2020 18:58 10.06.2020 18:58

Proudové transformátory se sekundárním výstupním napětím 333 mV používají např. elektroměry C-EM-0300M a R-EM-0300M-A. Tato trafa není nutné při manipulaci zkratovat. Dělené jádro proudového transformátoru umožňuje snadnou instalaci bez nutnosti rozpojování vodičů měřeného systému. Níže jsou uvedena trafa pro instalaci na vodič.

 

Klasifikace

Dělený (naklapávací) měřicí proudový transformátor - xxx/333mV - kabelový

Model

JC10F - xxx/333mV

JC16F - xxx/333mV

Vzhled

Výstupní napětí 333 mV 333 mV

Vnitřní průměr

10 mm

16 mm

Nominální proud

30 A, 50 A, 75 A

70 A, 100 A

Chyba fáze

+1.5 ±1° +1.0 ±1 °

Chyba linearity

-1 ±1%

-1 ±1%

Úroveň ochr.

2.2V0-P 2.2V0-P

Úroveň ochrany

3.0V0

Kategorie instalace

CATIII 

Výstupní svorky

2 x M3, s krytem

Výkresy

Provozní teploty -20 ÷ 50 °C, do 85 % RH, bez kondenzace

 


Obr. 1. Postup instalace měřicího trafa

Poznámky (dle čísel obrázků):

  1. Sundáme krytku na svorkovnici sekundární strany trafa.
  2. Na svorky S1 a S2 přišroubujeme izolované vodiče max. délky 100 cm, min. průměr 0,5 mm pro připojení k elektroměru.
  3. Zamáčkneme víčko na svorkovnici.
  4. Otevřeme kryt trafa a nasuneme jej na měřený vodič.
  5. Měřený vodič přitáhneme stahovacími pásky, strana přívodu (domovní přípojka) je na straně P1, měřená zátěž na straně P2 (značeno na boku trafa).
  6. Zaklapneme kryt trafa (POZOR na důkladné zavření a zacvaknutí, jinak bude trafo špatně měřit !) a připojíme vodiče na stejně značené svorky na eletroměru C(R)-EM-0300M.

 

 

Obr. 2. Ukázka správné orientace trafa na vodiči ve směru od přívodu (POWER) směrem k zátěži (LOAD)

 

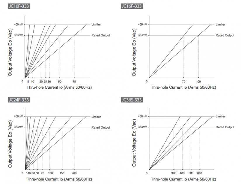
Obr. 3. Výstupní charakteristiky traf včetně dovoleného přetížení